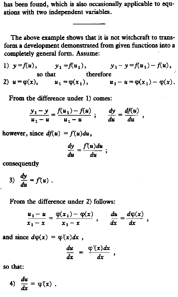
On the Differential, page 32
next page